Skip to content
  • Solutions
    Solutions
    • Planning and Forecasting
    • Consolidation and Close
    • BI and Reporting
    • Data Management
    Use Case
    • Three Statements
    • Budgeting and Forecasting
    • Rolling Forecast
    • Scenario Planning
    • Sales Planning
    • Workforce Planning
    • ESG Planning
    • Cash Flow Forecasting
    • Profitability Analysis
    Featured Stories
    • Croatia Airlines: 40% Faster PlanningSee how the national carrier replaced 60 fragile Excel workbooks with a unified model, linking flight schedules directly to their P&L.
    Solutions overview
  • Platform
    Platform
    • Calculation Engine
    • Modeling
    • Sheets
    • Dashboards
    • Security
    • Integrations
    Featured Stories
    • HT: From 8 Hours to 5 MinutesSee how a €1B+ telecom giant automated multi entity consolidation, cutting quarterly forecasting from 10 days to under 2 days.
    Platform overview
  • Farseer AI
  • Resources
    Resources
    • Blogs
    • Calculators
    • Customers
    • Webinars
    • Press
    • Partners
    Featured Stories
    • Delta DMDSee how this leading FMCG distributor cut planning cycles from weeks to hours and achieved SKU-level visibility with direct SAP integration.
    • CIOS: Erasing 600 Excel SheetsLearn how CIOS Group eliminated version conflicts and broken formulas, replacing massive manual spreadsheet packages with one automated platform.
  • Why Farseer
  • Book a Demo
  • Solutions
    • Planning and forecasting
      • Three Statements
      • Budgeting and forecasting
      • Rolling forecast
      • Scenario planning
      • Sales planning
      • Workforce planning
      • ESG planning
      • Cash flow forecasting
      • Profitability analysis
    • Consolidation and close
    • BI and reporting
    • Data management
  • Platform
    • Calculation engine
    • Modeling
    • Sheets
    • Dashboards
    • Security
    • Integrations
  • Farseer AI
  • Resources
    • Blog
    • Calculators
    • Customers
    • Webinars
    • Press
    • Partners
  • Why Farseer
  • Book a Demo

Free Financial Calculators

Accurate, easy-to-use online calculators for key business and finance metrics. Built for speed, clarity, and decision support. No login needed.

1
Current Ratio  Calculator

Current Ratio Calculator

Learn more
2
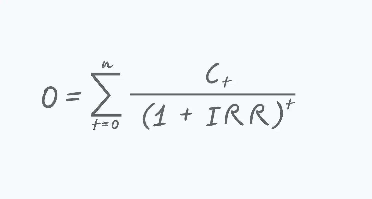
IRR Calculator

IRR Calculator

Learn more
3
EBITDA Calculator

EBITDA Calculator

Learn more
4
Gross Margin Calculator

Gross Margin Calculator

Learn more
5
Operating Cash Flow Calculator

Operating Cash Flow Calculator

Learn more
6
Working Capital Calculator

Working Capital Calculator

Learn more
7
Net Present Value (NPV)

Net Present Value (NPV)

Learn more
8
Profit Margin Calculator

Profit Margin Calculator

Learn more
9
Break-Even Point Calculator

Break-Even Point Calculator

Learn more
10
Weighted Average Cost of Capital (WACC) Calculator

Weighted Average Cost of Capital (WACC) Calculator

Learn more

Solutions

  • Three Statements
  • Budgeting and forecasting
  • Rolling forecast
  • Scenario planning
  • Sales planning
  • Workforce planning
  • ESG planning
  • Consolidation and close
  • BI and reporting
  • Data management
  • Cash flow forecasting
  • Profitability analysis

Platform

  • Farseer AI
  • Calculation engine
  • Modeling
  • Sheets
  • Dashboards
  • Security
  • Integrations

Company

  • Why Farseer
  • Customers
  • Careers
  • Company info

Resources

  • Blog
  • Webinars
  • Calculators
  • Press
  • Partners
  • LinkedIn
  • Facebook
  • Instagram
  • Privacy & Cookies
  • Terms of Use
  • Security Policy

© 2026 Farseer